D-band Fabry-Perot Open Resonator
We are pleased to announce our new D-band Fabry-Perot Open Resonator. Together with Rohde&Schwarz ZNA26 vector network analyser and ZC170 millimetre wave converters, D-band FPOR allows for precise and accurate measurements of dielectric sheets in 110 - 170 GHz range.

Similar to lower frequency versions, D-band FPOR delivers unprecedented accuracy (better than 0.25% (5%) for dielectric constant (loss tangent)) and high repeatability due to automated and software-controlled operation.
See the dedicated Rohde&Schwarz application card and contact us (e-mail: molszewska@qwed.eu) if you are interested to learn more.  
D-Band Fabry - Perot Open Resonator

 Parameters:

 

 

  • Frequency range:

110 - 170 GHz* with 1.5 GHz step

 

  • Dielectric constant:

Dk = 1 - 15 (accuracy: ±0.5%)

 

  • Loss tangent:

Df = 5 x 10-5 (accuracy: 5%)

 

  • Sample thickness:

1 µm - 3 mm

 

  • Sample diameter:

>50 mm (optimum: 80 - 100 mm)

 

  • Measurement time:

>3 minutes

 

  • Temperature:

room

 

  • The linear polarization of the electric field in the D-band FPOR allows for the measurement of in-plane anisotropic materials.

  • Fully automated and software controlled measurement

See also Broadband FPOR.

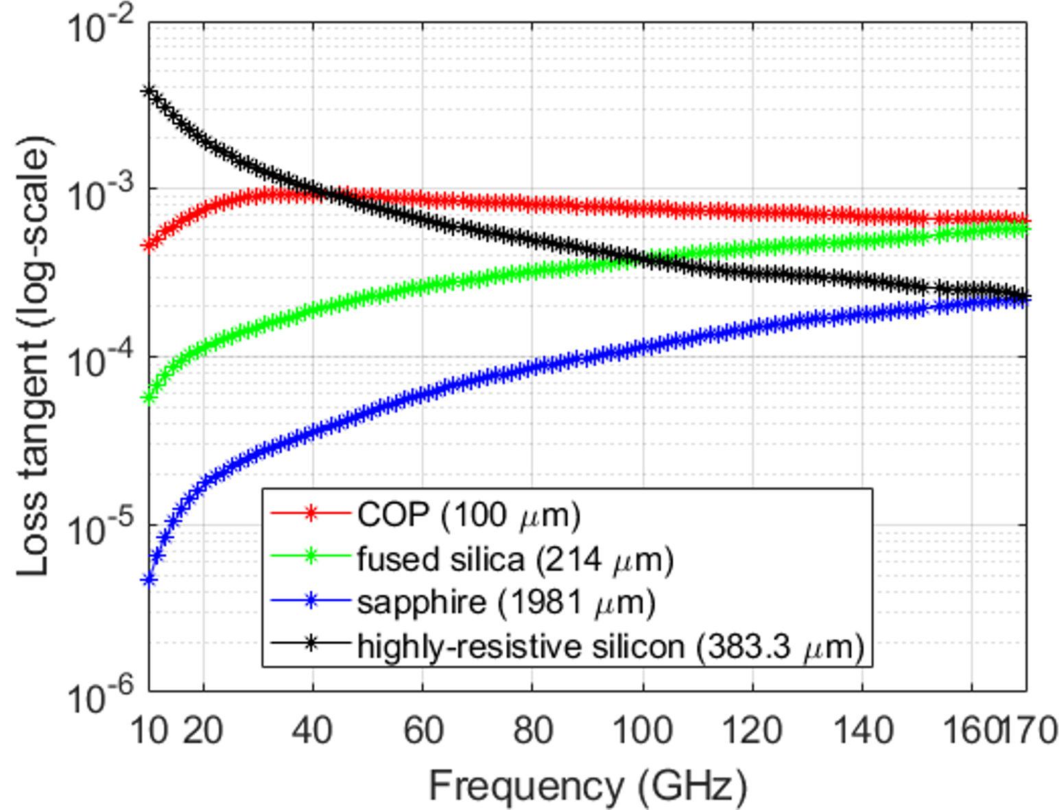
Measurement results of various dielectric materials obtained with Fabry-Perot Open Resonator fixture